[单选题]

二阶系统传递函数的频率特性函数为(  )。

A.

B.

C.

D.

参考答案与解析:

相关试题

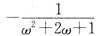
二阶系统传递函数<img border="0" style="width: 125px; height: 31px;" src="https:/

[单选题]二阶系统传递函数的频率特性函数为(  )。A.B.C.D.

  • 查看答案
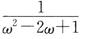
  • 二阶系统传递函数<img border="0" style="width: 119px; height: 38px;" src="https:/

    [单选题]二阶系统传递函数的频率特性函数为(  )。[2010年真题]A.B.C.D.

  • 查看答案
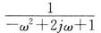
  • 二阶系统传递函数<img border="0" style="width: 119px; height: 38px;" src="https:/

    [单选题]二阶系统传递函数的频率特性函数为(  )。[2010年真题]A.B.C.D.

  • 查看答案
  • 某闭环系统总传递函数<img border="0" style="width: 125px; height: 34px;" src="https

    [单选题]某闭环系统总传递函数为使其阶跃响应无超调,K值为(  )。[2005年、2010年真题]A.3.5B.4.5C.5.5D.6.5

  • 查看答案
  • 某闭环系统总传递函数<img border="0" style="width: 125px; height: 34px;" src="https

    [单选题]某闭环系统总传递函数为使其阶跃响应无超调,K值为(  )。[2005年、2010年真题]A.3.5B.4.5C.5.5D.6.5

  • 查看答案
  • 二阶系统的传递函数为<img border="0" style="width: 129px; height: 41px;" src="https

    [单选题]二阶系统的传递函数为,当增大时,其(  )。A.固有频率增大,阻尼比增大B.固有频率增大,阻尼比减小C.固有频率减小,阻尼比增大D.固有频率减小,阻尼

  • 查看答案
  • 二阶系统的传递函数为<img border="0" style="width: 129px; height: 41px;" src="https

    [单选题]二阶系统的传递函数为,当增大时,其(  )。A.固有频率增大,阻尼比增大B.固有频率增大,阻尼比减小C.固有频率减小,阻尼比增大D.固有频率减小,阻尼

  • 查看答案
  • 设二阶系统的传递函数<img border="0" style="width: 143px; height: 41px;" src="https

    [单选题]设二阶系统的传递函数,其阻尼系数ξ和无阻尼自然频率ω分别为(  )。A.ξ=0.6,ω=3.0B.ξ=0.4,ω=9.0C.ξ=1.2,ω=3.0D.

  • 查看答案
  • 设二阶系统的传递函数<img border="0" style="width: 123px; height: 37px;" src="https

    [单选题]设二阶系统的传递函数,其阻尼系数和无阻尼自然频率分别为(  )。[2013年真题]A.,B.,C.,D.,

  • 查看答案
  • 二阶系统的传递函数为<img border="0" style="width: 129px; height: 41px;" src="https

    [单选题]二阶系统的传递函数为当增大时,其(  )。A.固有频率增大,阻尼比增大B.固有频率增大,阻尼比减小C.固有频率减小,阻尼比增大D.固有频率减小,阻尼比

  • 查看答案
  • 二阶系统传递函数<img border="0" style="width: 125px; height: 31px;" src="https:/