[单选题]

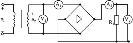
电路如图所示,二极管为理想元件,已知u2=100sin314t(V),RL=90Ω(设电流表的内阻视为零,电压表的内阻视为无穷大)。交流电压表(V1),直流电流表(A2)和直流电压表(V2)的读数分别是(  )。
题84图

A.100V,1A,45V

B.100V,1A,90V

C.100V,1.1A,100V

D.141V,1A,90V

参考答案与解析:

相关试题

电路如图所示,二极管为理想元件,已知u2=100<img border="0" style="width: 20px; height: 18px;" sr

[单选题]电路如图所示,二极管为理想元件,已知u2=100sin314t(V),RL=90Ω(设电流表的内阻视为零,电压表的内阻视为无穷大)。交流电压表(V1)

  • 查看答案
  • 电路如图所示,二极管为理想元件,已知u2=100<img border="0" style="width: 20px; height: 18px;" sr

    [单选题]电路如图所示,二极管为理想元件,已知u2=100sin314t(V),RL=90Ω(设电流表的内阻视为零,电压表的内阻视为无穷大)。交流电压表(V1)

  • 查看答案
  • 电路如图所示,二极管为理想元件,已知u2=100<img border="0" style="width: 20px; height: 18px;" sr

    [单选题]电路如图所示,二极管为理想元件,已知u2=100sin314t(V),RL=90Ω(设电流表的内阻视为零,电压表的内阻视为无穷大)。交流电压表(V1)

  • 查看答案
  • 电路如图所示,二极管为理想元件,已知u2=100<img border="0" style="width: 20px; height: 18px;" sr

    [单选题]电路如图所示,二极管为理想元件,已知u2=100sin314t(V),RL=90Ω(设电流表的内阻视为零,电压表的内阻视为无穷大)。交流电压表(V1)

  • 查看答案
  • 电路如图所示,二极管为理想元件,已知u2=100<img border="0" style="width: 20px; height: 18px;" sr

    [单选题]电路如图所示,二极管为理想元件,已知u2=100sin314t(V),RL=90Ω(设电流表的内阻视为零,电压表的内阻视为无穷大)。交流电压表(V1)

  • 查看答案
  • 电路如图所示,二极管为理想元件,已知u2=100<img border="0" style="width: 20px; height: 18px;" sr

    [单选题]电路如图所示,二极管为理想元件,已知u2=100sin314t(V),RL=90Ω(设电流表的内阻视为零,电压表的内阻视为无穷大)。交流电压表(V1)

  • 查看答案
  • 电路如图所示,二极管为理想元件,已知u2=100<img border="0" style="width: 20px; height: 18px;" sr

    [单选题]电路如图所示,二极管为理想元件,已知u2=100sin314t(V),RL=90Ω(设电流表的内阻视为零,电压表的内阻视为无穷大)。交流电压表(V1)

  • 查看答案
  • 电路如图所示,二极管为理想元件,已知u2=100<img border="0" style="width: 20px; height: 18px;" sr

    [单选题]电路如图所示,二极管为理想元件,已知u2=100sin314t(V),RL=90Ω(设电流表的内阻视为零,电压表的内阻视为无穷大)。交流电压表(V1)

  • 查看答案
  • 电路如图所示,二极管为理想元件,已知<img border="0" style="width: 207px; height: 24px;" src=&qu

    [单选题]电路如图所示,二极管为理想元件,已知(设电流表的内阻视为零,电压表的内阻视为无穷大)。交流电压表(V1)、直流电流表(A2)和直流电压表(V2)的读数

  • 查看答案
  • 电路如图所示,二极管为理想元件,已知<img border="0" style="width: 207px; height: 24px;" src=&qu

    [单选题]电路如图所示,二极管为理想元件,已知(设电流表的内阻视为零,电压表的内阻视为无穷大)。交流电压表(V1)、直流电流表(A2)和直流电压表(V2)的读数

  • 查看答案
  • 电路如图所示,二极管为理想元件,已知u2=100<img border="0" style="width: 20px; height: 18px;" sr