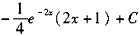
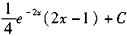
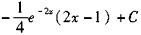
A.
B.
C.
D.
[单选题]∫xe-2xdx等于( )。A.B.C.D.
[单选题]∫xe-2xdx等于( )。A.B.C.D.
[单选题]∫xe-2xdx等于( )。A.B.C.D.
[单选题]∫xe-2xdx等于( )。A.B.C.D.
[单选题]∫xe-2xdx等于( )。A.B.C.D.
[单选题]∫xe-2xdx等于( )。A.B.C.D.
[单选题]∫xe-2xdx等于( )。A.B.C.D.
[单选题]∫xe-2xdx等于( )。A.B.C.D.
[单选题]∫xe-2xdx等于( )。A.B.C.D.
[单选题]∫xe-2xdx等于( )。A.B.C.D.