[单选题]

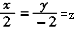
设平面α平行于两直线及2x=y=z,且与曲面z=x2+y2+1相切,则α的方程为(  )。

A.4x+2y-z=0

B.4x-2y+z+3=0

C.16x+8y-16z+11=0

D.16x-8y+8z-1=0

参考答案与解析:

相关试题

设平面α平行于两直线<img border="0" style="width: 78px; height: 29px;" src="https:

[单选题]设平面α平行于两直线及2x=y=z,且与曲面z=x2+y2+1相切,则α的方程为(  )。A.4x+2y-z=0B.4x-2y+z+3=0C.16x+

  • 查看答案
  • 设平面α平行于两直线<img border="0" style="width: 78px; height: 29px;" src="https:

    [单选题]设平面α平行于两直线及2x=y=z,且与曲面z=x2+y2+1相切,则α的方程为(  )。A.4x+2y-z=0B.4x-2y+z+3=0C.16x+

  • 查看答案
  • 设平面α平行于两直线<img border="0" style="width: 78px; height: 29px;" src="https:

    [单选题]设平面α平行于两直线及2x=y=z,且与曲面z=x2+y2+1相切,则α的方程为(  )。A.4x+2y-z=0B.4x-2y+z+3=0C.16x+

  • 查看答案
  • 设平面α平行于两直线<img border="0" style="width: 78px; height: 29px;" src="https:

    [单选题]设平面α平行于两直线及2x=y=z,且与曲面z=x2+y2+1相切,则α的方程为(  )。A.4x+2y-z=0B.4x-2y+z+3=0C.16x+

  • 查看答案
  • 设平面α平行于两直线<img border="0" style="width: 78px; height: 29px;" src="https:

    [单选题]设平面α平行于两直线及2x=y=z,且与曲面z=x2+y2+1相切,则α的方程为(  )。A.4x+2y-z=0B.4x-2y+z+3=0C.16x+

  • 查看答案
  • 设平面α平行于两直线<img border="0" style="width: 78px; height: 29px;" src="https:

    [单选题]设平面α平行于两直线及2x=y=z,且与曲面z=x2+y2+1相切,则α的方程为(  )。A.4x+2y-z=0B.4x-2y+z+3=0C.16x+

  • 查看答案
  • 设平面α平行于两直线<img border="0" style="width: 78px; height: 29px;" src="https:

    [单选题]设平面α平行于两直线及2x=y=z,且与曲面z=x2+y2+1相切,则α的方程为(  )。A.4x+2y-z=0B.4x-2y+z+3=0C.16x+

  • 查看答案
  • 设平面α平行于两直线<img border="0" style="width: 78px; height: 29px;" src="https:

    [单选题]设平面α平行于两直线及2x=y=z,且与曲面z=x2+y2+1相切,则α的方程为(  )。A.4x+2y-z=0B.4x-2y+z+3=0C.16x+

  • 查看答案
  • 设平面α平行于两直线<img border="0" style="width: 78px; height: 29px;" src="https:

    [单选题]设平面α平行于两直线及2x=y=z,且与曲面z=x2+y2+1相切,则α的方程为(  )。A.4x+2y-z=0B.4x-2y+z+3=0C.16x+

  • 查看答案
  • 设平面α平行于两直线<img border="0" style="width: 78px; height: 29px;" src="https:

    [单选题]设平面α平行于两直线及2x=y=z,且与曲面z=x2+y2+1相切,则α的方程为(  )。A.4x+2y-z=0B.4x-2y+z+3=0C.16x+

  • 查看答案
  • 设平面α平行于两直线<img border="0" style="width: 78px; height: 29px;" src="https: