A.
B.
C.
D.
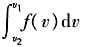
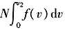
[单选题]某种理想气体的总分子数为N,分子速率分布函数为f(v),则速度在v1~v2区间内的分子数是( )。A.B.C.D.
[单选题]某种理想气体的总分子数为N,分子速率分布函数为f(v),则速度在v1~v2区间内的分子数是( )。A.B.C.D.
[单选题]某种理想气体的总分子数为N,分子速率分布函数为f(v),则速度在v1~v2区间内的分子数是()。A.B.C.D.
[单选题]某种理想气体的总分子数为N,分子速率分布函数为f(v),则速度在v1~v2区间内的分子数是( )。A.B.C.D.
[单选题]某种理想气体的总分子数为N,分子速率分布函数为f(v),则速度在v1~v2区间内的分子数是()。A.B.C.D.
[单选题]某种理想气体的总分子数为N,分子速率分布函数为f(v),则速度在v1~v2区间内的分子数是( )。A.B.C.D.
[单选题]某种理想气体的总分子数为N,分子速率分布函数为f(v),则速度在v1~v2区间内的分子数是( )。A.B.C.D.
[单选题]某种理想气体的总分子数为N,分子速率分布函数为f(v),则速度在v1~v2区间内的分子数是( )。A.B.C.D.
[单选题]某种理想气体的总分子数为N,分子速率分布函数为f(v),则速度在v1~v2区间内的分子数是( )。A.B.C.D.
[单选题]某种理想气体的总分子数为N,分子速率分布函数为f(v),则速度在v1~v2区间内的分子数是( )。A.B.C.D.