的特解是( )。A.
B.
C.
D.
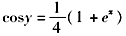
[单选题]微分方程cosydx+(1+e-x)sinydy=0满足初始条件的特解是( )。A.B.C.D.
[单选题]微分方程cosydx+(1+e-x)sinydy=0满足初始条件的特解是( )。A.B.C.D.
[单选题]微分方程cosydx+(1+e-x)sinydy=0满足初始条件的特解是( )。A.B.C.D.
[单选题]微分方程cosydx+(1+e-x)sinydy=0满足初始条件的特解是( )。A.B.C.D.
[单选题]微分方程cosydx+(1+e-x)sinydy=0满足初始条件的特解是( )。A.B.C.D.
[单选题]微分方程cosydx+(1+e-x)sinydy=0满足初始条件的特解是( )。A.B.C.D.
[单选题]微分方程cosydx+(1+e-x)sinydy=0满足初始条件的特解是( )。A.B.C.D.
[单选题]微分方程cosydx+(1+e-x)sinydy=0满足初始条件的特解是( )。A.B.C.D.
[单选题]微分方程cosydx+(1+e-x)sinydy=0满足初始条件的特解是( )。A.B.C.D.
[单选题]微分方程cosydx+(1+e-x)sinydy=0满足初始条件的特解是( )。A.B.C.D.