A.
B.
C.
D.
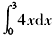
[单选题]抛物线y2=4x与直线x=3所围成的平面图形绕x轴旋转一周形成的旋转体体积是( )。[2014年真题]A.B.C.D.
[单选题]抛物线y2=4x与直线x=3所围成的平面图形绕x轴旋转一周形成的旋转体体积是( )。[2014年真题]A.B.C.D.
[单选题]抛物线y2=4x与直线x=3所围成的平面图形绕x轴旋转一周形成的旋转体体积是( )。[2014年真题]A.B.C.D.
[单选题]抛物线y2=4x与直线x=3所围成的平面图形绕x轴旋转一周形成的旋转体体积是( )。[2014年真题]A.B.C.D.
[单选题]抛物线y2=4x与直线x=3所围成的平面图形绕x轴旋转一周形成的旋转体体积是( )。[2014年真题]A.B.C.D.
[单选题]抛物线y2=4x与直线x=3所围成的平面图形绕x轴旋转一周形成的旋转体体积是( )。[2014年真题]A.B.C.D.
[单选题]抛物线y2=4x与直线x=3所围成的平面图形绕x轴旋转一周形成的旋转体体积是( )。[2014年真题]A.B.C.D.
[单选题]抛物线y2=4x与直线x=3所围成的平面图形绕x轴旋转一周形成的旋转体体积是( )。[2014年真题]A.B.C.D.
[单选题]抛物线y2=4x与直线x=3所围成的平面图形绕x轴旋转一周形成的旋转体体积是( )。[2014年真题]A.B.C.D.
[单选题]抛物线y2=4x与直线x=3所围成的平面图形绕x轴旋转一周形成的旋转体体积是( )。[2014年真题]A.B.C.D.