则P(0≤X≤3)等于( )。A.
B.
C.
D.
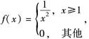
[单选题]设随机变量X的概率密度为则P(0≤X≤3)等于( )。A.B.C.D.
[单选题]设随机变量X的概率密度为则P(0≤X≤3)等于( )。A.B.C.D.
[单选题]设随机变量X的概率密度为则P(0≤X≤3)等于( )。A.B.C.D.
[单选题]设随机变量X的概率密度为则P(0≤X≤3)等于( )。A.B.C.D.
[单选题]设随机变量X的概率密度为则P(0≤X≤3)等于( )。A.B.C.D.
[单选题]设随机变量X的概率密度为则P(0≤X≤3)等于( )。A.B.C.D.
[单选题]设随机变量X的概率密度为则P(0≤X≤3)等于( )。A.B.C.D.
[单选题]设随机变量X的概率密度为则P(0≤X≤3)等于( )。A.B.C.D.
[单选题]设随机变量X的概率密度为则P(0≤X≤3)等于( )。A.B.C.D.
[单选题]设随机变量X的概率密度为则P(0≤X≤3)等于( )。A.B.C.D.