[单选题]

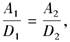
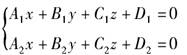
已知直线方程中所有系数都不等于0,且,则该直线(  )。

A.平行于x轴

B.与x轴相交

C.不通过原点

D.与x轴重合

参考答案与解析:

相关试题

已知直线方程<img border="0" style="width: 187px; height: 55px;" src="https://i

[单选题]已知直线方程中所有系数都不等于0,且,则该直线(  )。A.平行于x轴B.与x轴相交C.不通过原点D.与x轴重合

  • 查看答案
  • 已知直线方程<img border="0" style="width: 187px; height: 55px;" src="https://i

    [单选题]已知直线方程中所有系数都不等于0,且,则该直线(  )。A.平行于x轴B.与x轴相交C.不通过原点D.与x轴重合

  • 查看答案
  • 已知直线方程<img border="0" style="width: 187px; height: 55px;" src="https://i

    [单选题]已知直线方程中所有系数都不等于0,且,则该直线(  )。A.平行于x轴B.与x轴相交C.不通过原点D.与x轴重合

  • 查看答案
  • 已知直线方程<img border="0" style="width: 187px; height: 55px;" src="https://i

    [单选题]已知直线方程中所有系数都不等于0,且,则该直线(  )。A.平行于x轴B.与x轴相交C.不通过原点D.与x轴重合

  • 查看答案
  • 已知直线方程<img border="0" style="width: 187px; height: 55px;" src="https://i

    [单选题]已知直线方程中所有系数都不等于0,且,则该直线(  )。A.平行于x轴B.与x轴相交C.不通过原点D.与x轴重合

  • 查看答案
  • 已知直线方程<img border="0" style="width: 187px; height: 55px;" src="https://i

    [单选题]已知直线方程中所有系数都不等于0,且,则该直线(  )。A.平行于x轴B.与x轴相交C.不通过原点D.与x轴重合

  • 查看答案
  • 已知直线方程<img border="0" style="width: 187px; height: 55px;" src="https://i

    [单选题]已知直线方程中所有系数都不等于0,且,则该直线(  )。A.平行于x轴B.与x轴相交C.不通过原点D.与x轴重合

  • 查看答案
  • 已知直线方程<img border="0" style="width: 187px; height: 55px;" src="https://i

    [单选题]已知直线方程中所有系数都不等于0,且,则该直线(  )。A.平行于x轴B.与x轴相交C.不通过原点D.与x轴重合

  • 查看答案
  • 已知直线方程<img border="0" style="width: 187px; height: 55px;" src="https://i

    [单选题]已知直线方程中所有系数都不等于0,且,则该直线(  )。A.平行于x轴B.与x轴相交C.不通过原点D.与x轴重合

  • 查看答案
  • 已知直线方程<img border="0" style="width: 187px; height: 55px;" src="https://i

    [单选题]已知直线方程中所有系数都不等于0,且,则该直线(  )。A.平行于x轴B.与x轴相交C.不通过原点D.与x轴重合

  • 查看答案
  • 已知直线方程<img border="0" style="width: 187px; height: 55px;" src="https://i