A.
B.
C.
D.
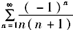
[单选题]下列级数中,条件收敛的是( )。[2012年真题]A.B.C.D.
[单选题]下列级数中,条件收敛的是( )。[2012年真题]A.B.C.D.
[单选题]下列级数中,条件收敛的是( )。[2012年真题]A.B.C.D.
[单选题]下列级数中,条件收敛的是( )。[2012年真题]A.B.C.D.
[单选题]下列级数中,条件收敛的是( )。[2012年真题]A.B.C.D.
[单选题]下列级数中,条件收敛的是( )。[2012年真题]A.B.C.D.
[单选题]下列级数中,条件收敛的是( )。[2012年真题]A.B.C.D.
[单选题]下列级数中,条件收敛的是( )。[2012年真题]A.B.C.D.
[单选题]下列级数中,条件收敛的是( )。[2012年真题]A.B.C.D.
[单选题]下列级数中,条件收敛的级数是().A . B . C . D .