[单选题]

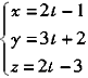
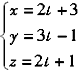
通过直线和直线的平面方程为(  )。

A.x-z-2=0

B.x+z=0

C.x-2y+z=0

D.x+y+z=1

参考答案与解析:

相关试题

通过直线<img border="0" style="width: 81px; height: 72px;" src="https://img.

[单选题]通过直线和直线的平面方程为(  )。A.x-z-2=0B.x+z=0C.x-2y+z=0D.x+y+z=1

  • 查看答案
  • 通过直线<img border="0" style="width: 81px; height: 72px;" src="https://img.

    [单选题]通过直线和直线的平面方程为(  )。A.x-z-2=0B.x+z=0C.x-2y+z=0D.x+y+z=1

  • 查看答案
  • 通过直线<img border="0" style="width: 81px; height: 72px;" src="https://img.

    [单选题]通过直线和直线的平面方程为(  )。A.x-z-2=0B.x+z=0C.x-2y+z=0D.x+y+z=1

  • 查看答案
  • 通过直线<img border="0" style="width: 81px; height: 72px;" src="https://img.

    [单选题]通过直线和直线的平面方程为(  )。A.x-z-2=0B.x+z=0C.x-2y+z=0D.x+y+z=1

  • 查看答案
  • 通过直线<img border="0" style="width: 81px; height: 72px;" src="https://img.

    [单选题]通过直线和直线的平面方程为(  )。A.x-z-2=0B.x+z=0C.x-2y+z=0D.x+y+z=1

  • 查看答案
  • 通过直线<img border="0" style="width: 81px; height: 72px;" src="https://img.

    [单选题]通过直线和直线的平面方程为(  )。A.x-z-2=0B.x+z=0C.x-2y+z=0D.x+y+z=1

  • 查看答案
  • 通过直线<img border="0" style="width: 81px; height: 72px;" src="https://img.

    [单选题]通过直线和直线的平面方程为(  )。A.x-z-2=0B.x+z=0C.x-2y+z=0D.x+y+z=1

  • 查看答案
  • 通过直线<img border="0" style="width: 81px; height: 72px;" src="https://img.

    [单选题]通过直线和直线的平面方程为(  )。A.x-z-2=0B.x+z=0C.x-2y+z=0D.x+y+z=1

  • 查看答案
  • 通过直线<img border="0" style="width: 81px; height: 72px;" src="https://img.

    [单选题]通过直线和直线的平面方程为(  )。A.x-z-2=0B.x+z=0C.x-2y+z=0D.x+y+z=1

  • 查看答案
  • 通过直线<img border="0" style="width: 81px; height: 72px;" src="https://img.

    [单选题]通过直线和直线的平面方程为(  )。A.x-z-2=0B.x+z=0C.x-2y+z=0D.x+y+z=1

  • 查看答案
  • 通过直线<img border="0" style="width: 81px; height: 72px;" src="https://img.