等于( )。[2013年真题]A.
B.
C.
D.
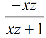
[单选题]设z=z(x,y)是由方程xz-xy+ln(xyz)=0所确定的可微函数,则等于( )。[2013年真题]A.B.C.D.
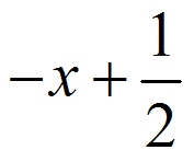
[单选题]设z=z(x,y)是由方程xz-xy+ln(xyz)=0所确定的可微函数,则等于( )。[2013年真题]A.B.C.D.
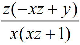
[单选题]设z=z(x,y)是由方程xz-xy+ln(xyz)=0所确定的可微函数,则等于( )。[2013年真题]A.B.C.D.
[单选题]设z=z(x,y)是由方程xz-xy+ln(xyz)=0所确定的可微函数,则等于( )。[2013年真题]A.B.C.D.
[单选题]设z=z(x,y)是由方程xz-xy+ln(xyz)=0所确定的可微函数,则等于( )。[2013年真题]A.B.C.D.
[单选题]设z=z(x,y)是由方程xz-xy+ln(xyz)=0所确定的可微函数,则等于( )。[2013年真题]A.B.C.D.
[单选题]设z=z(x,y)是由方程xz-xy+ln(xyz)=0所确定的可微函数,则等于( )。[2013年真题]A.B.C.D.
[单选题]设z=z(x,y)是由方程xz-xy+ln(xyz)=0所确定的可微函数,则等于( )。[2013年真题]A.B.C.D.
[单选题]设z=z(x,y)是由方程xz-xy+ln(xyz)=0所确定的可微函数,则等于( )。[2013年真题]A.B.C.D.
[问答题]设函数z=z(x,y)是由方程所确定的隐函数,求