的值为( )。A.2
B.-2
C.0
D.4
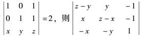
[单选题]已知的值为( )。A.2B.-2C.0D.4
[单选题]已知的值为( )。A.2B.-2C.0D.4
[单选题]已知的值为( )。A.2B.-2C.0D.4
[单选题]已知的值为( )。A.2B.-2C.0D.4
[单选题]已知的值为( )。A.2B.-2C.0D.4
[单选题]已知的值为( )。A.2B.-2C.0D.4
[单选题]已知的值为( )。A.2B.-2C.0D.4
[单选题]已知的值为( )。A.2B.-2C.0D.4
[单选题]已知的值为( )。A.2B.-2C.0D.4
[单选题]已知的值为( )。A.2B.-2C.0D.4