[单选题]

设幂级数的收敛半径为2,则幂级数的收敛区间是(  )。[2011年真题]

A.(-2,2)

B.(-2,4)

C.(0,4)

D.(-4,0)

参考答案与解析:

相关试题

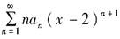
设幂级数<img border="0" style="width: 67px; height: 44px;" src="https://img.

[单选题]设幂级数的收敛半径为2,则幂级数的收敛区间是(  )。[2011年真题]A.(-2,2)B.(-2,4)C.(0,4)D.(-4,0)

  • 查看答案
  • 设幂级数<img border="0" style="width: 67px; height: 44px;" src="https://img.

    [单选题]设幂级数的收敛半径为2,则幂级数的收敛区间是(  )。[2011年真题]A.(-2,2)B.(-2,4)C.(0,4)D.(-4,0)

  • 查看答案
  • 设幂级数<img border="0" style="width: 67px; height: 44px;" src="https://img.

    [单选题]设幂级数的收敛半径为2,则幂级数的收敛区间是(  )。[2011年真题]A.(-2,2)B.(-2,4)C.(0,4)D.(-4,0)

  • 查看答案
  • 设幂级数<img border="0" style="width: 67px; height: 44px;" src="https://img.

    [单选题]设幂级数的收敛半径为2,则幂级数的收敛区间是(  )。[2011年真题]A.(-2,2)B.(-2,4)C.(0,4)D.(-4,0)

  • 查看答案
  • 设幂级数<img border="0" style="width: 67px; height: 44px;" src="https://img.

    [单选题]设幂级数的收敛半径为2,则幂级数的收敛区间是(  )。[2011年真题]A.(-2,2)B.(-2,4)C.(0,4)D.(-4,0)

  • 查看答案
  • 设幂级数<img border="0" style="width: 67px; height: 44px;" src="https://img.

    [单选题]设幂级数的收敛半径为2,则幂级数的收敛区间是(  )。[2011年真题]A.(-2,2)B.(-2,4)C.(0,4)D.(-4,0)

  • 查看答案
  • 设幂级数<img border="0" style="width: 67px; height: 44px;" src="https://img.

    [单选题]设幂级数的收敛半径为2,则幂级数的收敛区间是(  )。[2011年真题]A.(-2,2)B.(-2,4)C.(0,4)D.(-4,0)

  • 查看答案
  • 设幂级数<img border="0" style="width: 67px; height: 44px;" src="https://img.

    [单选题]设幂级数的收敛半径为2,则幂级数的收敛区间是(  )。[2011年真题]A.(-2,2)B.(-2,4)C.(0,4)D.(-4,0)

  • 查看答案
  • 设幂级数<img border="0" style="width: 67px; height: 44px;" src="https://img.

    [单选题]设幂级数的收敛半径为2,则幂级数的收敛区间是(  )。[2011年真题]A.(-2,2)B.(-2,4)C.(0,4)D.(-4,0)

  • 查看答案
  • 设常数λ>0,且级数<img border="0" style="width: 44px; height: 44px;" src="https:

    [单选题]设常数λ>0,且级数收敛,则级数(  )。A.发散B.条件收敛C.绝对收敛D.收敛性与λ有关

  • 查看答案
  • 设幂级数<img border="0" style="width: 67px; height: 44px;" src="https://img.