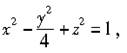
[单选题]

方程表示(  )。[2012年真题]

A.旋转双曲面

B.双叶双曲面

C.双曲柱面

D.锥面

参考答案与解析:

相关试题

方程<img border="0" style="width: 127px; height: 53px;" src="https://img.z

[单选题]方程表示(  )。[2012年真题]A.旋转双曲面B.双叶双曲面C.双曲柱面D.锥面

  • 查看答案
  • 方程<img border="0" style="width: 127px; height: 53px;" src="https://img.z

    [单选题]方程表示(  )。[2012年真题]A.旋转双曲面B.双叶双曲面C.双曲柱面D.锥面

  • 查看答案
  • 方程<img border="0" style="width: 127px; height: 53px;" src="https://img.z

    [单选题]方程表示(  )。[2012年真题]A.旋转双曲面B.双叶双曲面C.双曲柱面D.锥面

  • 查看答案
  • 方程<img border="0" style="width: 127px; height: 53px;" src="https://img.z

    [单选题]方程表示(  )。[2012年真题]A.旋转双曲面B.双叶双曲面C.双曲柱面D.锥面

  • 查看答案
  • 方程<img border="0" style="width: 127px; height: 53px;" src="https://img.z

    [单选题]方程表示(  )。[2012年真题]A.旋转双曲面B.双叶双曲面C.双曲柱面D.锥面

  • 查看答案
  • 方程<img border="0" style="width: 127px; height: 53px;" src="https://img.z

    [单选题]方程表示(  )。[2012年真题]A.旋转双曲面B.双叶双曲面C.双曲柱面D.锥面

  • 查看答案
  • 方程<img border="0" style="width: 127px; height: 53px;" src="https://img.z

    [单选题]方程表示(  )。[2012年真题]A.旋转双曲面B.双叶双曲面C.双曲柱面D.锥面

  • 查看答案
  • 方程<img border="0" style="width: 127px; height: 53px;" src="https://img.z

    [单选题]方程表示(  )。[2012年真题]A.旋转双曲面B.双叶双曲面C.双曲柱面D.锥面

  • 查看答案
  • 方程<img border="0" style="width: 127px; height: 53px;" src="https://img.z

    [单选题]方程表示(  )。[2012年真题]A.旋转双曲面B.双叶双曲面C.双曲柱面D.锥面

  • 查看答案
  • 方程<img border="0" style="width: 127px; height: 53px;" src="https://img.z

    [单选题]方程表示(  )。[2012年真题]A.旋转双曲面B.双叶双曲面C.双曲柱面D.锥面

  • 查看答案
  • 方程<img border="0" style="width: 127px; height: 53px;" src="https://img.z