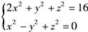
[单选题]

母线平行于Ox轴且通过曲线的柱面方程为(  )。

A.3x2+2z2=16

B.x2+2y2=16

C.3y2-z2=16

D.3y2-z=16

参考答案与解析:

相关试题

母线平行于Ox轴且通过曲线<img border="0" style="width: 124px; height: 45px;" src="ht

[单选题]母线平行于Ox轴且通过曲线的柱面方程为(  )。A.3x2+2z2=16B.x2+2y2=16C.3y2-z2=16D.3y2-z=16

  • 查看答案
  • 母线平行于Ox轴且通过曲线<img border="0" style="width: 124px; height: 45px;" src="ht

    [单选题]母线平行于Ox轴且通过曲线的柱面方程为(  )。A.3x2+2z2=16B.x2+2y2=16C.3y2-z2=16D.3y2-z=16

  • 查看答案
  • 母线平行于ox轴且通过曲线<img border="0" style="width: 124px; height: 45px;" src="ht

    [单选题]母线平行于ox轴且通过曲线的柱面方程为(  )。A.3x2+2z2=16B.x2+2y2=16C.3y2-z2=16D.3y2-z=16

  • 查看答案
  • 母线平行于Ox轴且通过曲线<img border="0" style="width: 124px; height: 45px;" src="ht

    [单选题]母线平行于Ox轴且通过曲线的柱面方程为(  )。A.3x2+2z2=16B.x2+2y2=16C.3y2-z2=16D.3y2-z=16

  • 查看答案
  • 母线平行于Ox轴且通过曲线<img border="0" style="width: 124px; height: 45px;" src="ht

    [单选题]母线平行于Ox轴且通过曲线的柱面方程为(  )。A.3x2+2z2=16B.x2+2y2=16C.3y2-z2=16D.3y2-z=16

  • 查看答案
  • 母线平行于Ox轴且通过曲线<img border="0" style="width: 124px; height: 45px;" src="ht

    [单选题]母线平行于Ox轴且通过曲线的柱面方程为(  )。A.3x2+2z2=16B.x2+2y2=16C.3y2-z2=16D.3y2-z=16

  • 查看答案
  • 母线平行于Ox轴且通过曲线<img border="0" style="width: 124px; height: 45px;" src="ht

    [单选题]母线平行于Ox轴且通过曲线的柱面方程为(  )。A.3x2+2z2=16B.x2+2y2=16C.3y2-z2=16D.3y2-z=16

  • 查看答案
  • 母线平行于Ox轴且通过曲线<img border="0" style="width: 124px; height: 45px;" src="ht

    [单选题]母线平行于Ox轴且通过曲线的柱面方程为(  )。A.3x2+2z2=16B.x2+2y2=16C.3y2-z2=16D.3y2-z=16

  • 查看答案
  • 母线平行于Ox轴且通过曲线<img border="0" style="width: 124px; height: 45px;" src="ht

    [单选题]母线平行于Ox轴且通过曲线的柱面方程为(  )。A.3x2+2z2=16B.x2+2y2=16C.3y2-z2=16D.3y2-z=16

  • 查看答案
  • 母线平行于Ox轴且通过曲线<img border="0" style="width: 124px; height: 45px;" src="ht

    [单选题]母线平行于Ox轴且通过曲线的柱面方程为(  )。A.3x2+2z2=16B.x2+2y2=16C.3y2-z2=16D.3y2-z=16

  • 查看答案
  • 母线平行于Ox轴且通过曲线<img border="0" style="width: 124px; height: 45px;" src="ht