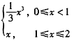
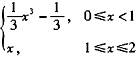
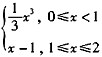
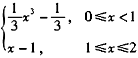
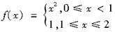
,设
,则F(x)为( )。A.
B.
C.
D.
[单选题]已知,设,则F(x)为( )。A.B.C.D.
[单选题]已知,设,则F(x)为( )。A.B.C.D.
[单选题]已知,设,则F(x)为( )。A.B.C.D.
[单选题]已知,设,则F(x)为( )。A.B.C.D.
[单选题]已知,设,则F(x)为( )。A.B.C.D.
[单选题]已知,设,则F(x)为( )。A.B.C.D.
[单选题]已知,设,则F(x)为( )。A.B.C.D.
[单选题]已知,设,则F(x)为( )。A.B.C.D.
[单选题]已知,设,则F(x)为( )。A.B.C.D.
[单选题]已知,设,则F(x)为( )。A.B.C.D.