图4-3-3A.
B.
C.
D.
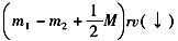
[单选题]如图4-3-3所示,两重物M1和M2的质量分别为m1和m2,二重物系在不计重量的软绳上,绳绕过均质定滑轮,滑轮半径为r,质量为M,则此滑轮系统的动量矩
[单选题]如图4-3-3所示,两重物M1和M2的质量分别为m1和m2,二重物系在不计重量的软绳上,绳绕过均质定滑轮,滑轮半径为r,质量为M,则此滑轮系统的动量矩
[单选题]如图4-3-3所示,两重物M1和M2的质量分别为m1和m2,二重物系在不计重量的软绳上,绳绕过均质定滑轮,滑轮半径为r,质量为M,则此滑轮系统的动量矩
[单选题]如图4-3-3所示,两重物M1和M2的质量分别为m1和m2,二重物系在不计重量的软绳上,绳绕过均质定滑轮,滑轮半径为r,质量为M,则此滑轮系统的动量矩
[单选题]如图4-3-3所示,两重物M1和M2的质量分别为m1和m2,二重物系在不计重量的软绳上,绳绕过均质定滑轮,滑轮半径为r,质量为M,则此滑轮系统的动量矩
[单选题]如图4-3-3所示,两重物M1和M2的质量分别为m1和m2,二重物系在不计重量的软绳上,绳绕过均质定滑轮,滑轮半径为r,质量为M,则此滑轮系统的动量矩
[单选题]如图4-3-3所示,两重物M1和M2的质量分别为m1和m2,二重物系在不计重量的软绳上,绳绕过均质定滑轮,滑轮半径为r,质量为M,则此滑轮系统的动量矩
[单选题]如图4-3-3所示,两重物M1和M2的质量分别为m1和m2,二重物系在不计重量的软绳上,绳绕过均质定滑轮,滑轮半径为r,质量为M,则此滑轮系统的动量矩
[单选题]如图4-3-3所示,两重物M1和M2的质量分别为m1和m2,二重物系在不计重量的软绳上,绳绕过均质定滑轮,滑轮半径为r,质量为M,则此滑轮系统的动量矩
[单选题]如图4-3-3所示,两重物M1和M2的质量分别为m1和m2,二重物系在不计重量的软绳上,绳绕过均质定滑轮,滑轮半径为r,质量为M,则此滑轮系统的动量矩