[单选题]

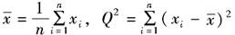
设x1,x2…xn是来自总体N(μ,σ2)的样本,μ,σ2未知,,Q>0。则检验假设H0∶μ=0时应选取的统计量是(  )。[2012年真题]

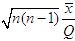
A.

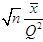
B.

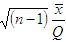
C.

D.

参考答案与解析:

相关试题

设x1,x2…xn是来自总体N(μ,σ2)的样本,μ,σ2未知,<img border="0" style="width: 258px; height: 39px;

[单选题]设x1,x2…xn是来自总体N(μ,σ2)的样本,μ,σ2未知,,Q>0。则检验假设H0∶μ=0时应选取的统计量是(  )。[2012年真题]A.B.

  • 查看答案
  • 设x1,x2…xn是来自总体N(μ,σ2)的样本,μ,σ2未知,<img border="0" style="width: 258px; height: 39px;

    [单选题]设x1,x2…xn是来自总体N(μ,σ2)的样本,μ,σ2未知,,Q>0。则检验假设H0∶μ=0时应选取的统计量是(  )。[2012年真题]A.B.

  • 查看答案
  • 设x1,x2…xn是来自总体N(μ,σ2)的样本,μ,σ2未知,<img border="0" style="width: 258px; height: 39px;

    [单选题]设x1,x2…xn是来自总体N(μ,σ2)的样本,μ,σ2未知,,Q>0。则检验假设H0∶μ=0时应选取的统计量是(  )。[2012年真题]A.B.

  • 查看答案
  • 设x1,x2…xn是来自总体N(μ,σ2)的样本,μ,σ2未知,<img border="0" style="width: 258px; height: 39px;

    [单选题]设x1,x2…xn是来自总体N(μ,σ2)的样本,μ,σ2未知,,Q>0。则检验假设H0∶μ=0时应选取的统计量是(  )。[2012年真题]A.B.

  • 查看答案
  • 设x1,x2…xn是来自总体N(μ,σ2)的样本,μ,σ2未知,<img border="0" style="width: 258px; height: 39px;

    [单选题]设x1,x2…xn是来自总体N(μ,σ2)的样本,μ,σ2未知,,Q>0。则检验假设H0∶μ=0时应选取的统计量是(  )。[2012年真题]A.B.

  • 查看答案
  • 设x1,x2…xn是来自总体N(μ,σ2)的样本,μ,σ2未知,<img border="0" style="width: 258px; height: 39px;

    [单选题]设x1,x2…xn是来自总体N(μ,σ2)的样本,μ,σ2未知,,Q>0。则检验假设H0∶μ=0时应选取的统计量是(  )。[2012年真题]A.B.

  • 查看答案
  • 设x1,x2…xn是来自总体N(μ,σ2)的样本,μ,σ2未知,<img border="0" style="width: 258px; height: 39px;

    [单选题]设x1,x2…xn是来自总体N(μ,σ2)的样本,μ,σ2未知,,Q>0。则检验假设H0∶μ=0时应选取的统计量是(  )。[2012年真题]A.B.

  • 查看答案
  • 设x1,x2…xn是来自总体N(μ,σ2)的样本,μ,σ2未知,<img border="0" style="width: 258px; height: 39px;

    [单选题]设x1,x2…xn是来自总体N(μ,σ2)的样本,μ,σ2未知,,Q>0。则检验假设H0∶μ=0时应选取的统计量是(  )。[2012年真题]A.B.

  • 查看答案
  • 设x1,x2…xn是来自总体N(μ,σ2)的样本,μ,σ2未知,<img border="0" style="width: 258px; height: 39px;

    [单选题]设x1,x2…xn是来自总体N(μ,σ2)的样本,μ,σ2未知,,Q>0。则检验假设H0∶μ=0时应选取的统计量是(  )。[2012年真题]A.B.

  • 查看答案
  • 设x1,x2…xn是来自总体N(μ,σ2)的样本,μ,σ2未知,<img border="0" style="width: 258px; height: 39px;

    [单选题]设x1,x2…xn是来自总体N(μ,σ2)的样本,μ,σ2未知,,Q>0。则检验假设H0∶μ=0时应选取的统计量是(  )。[2012年真题]A.B.

  • 查看答案
  • 设x1,x2…xn是来自总体N(μ,σ2)的样本,μ,σ2未知,<img border="0" style="width: 258px; height: 39px;