图1-6-7A.
B.
C.
D.
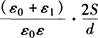
[单选题]图1-6-4中电容器极板间的距离为d,极板面积为S,ε0、ε1介质厚度为d/2,则该电容器的电容应为( )。图1-6-4A.B.C.D.
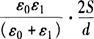
[单选题]已知图10-77中电容器极板间的距离为d,极板面积为S,ε1介质厚度为d/2,则该电容器的电容应为()。A . ε0S/dB . [(ε0+ε1)/ε0ε1]2S/dC . [ε0ε1/(ε0+ε1)]2S/dD . ε1/d
[单选题]图1-6-3中平板电容器的上部空间填充介电系数为ε0的介质,所对应的极板面积为S0,下部介质的介电系数为ε1,所对应的极板面积为S1,极板的间距为d,
[单选题]平行电容器两极板间距离为d,极板面积为S,中间填充介质的介电常数为ε,若在两极板间施加电压U0,则极板上的受力为()。A.εSU0^2/(2d^2)B
[单选题]平行电容器两极板间距离为d,极板面积为S,中间填充介质的介电常数为ε,若在两极板间施加电压U0,则极板上的受力为()。A.εSU0^2/(2d^2)B
[单选题]一理想的平板电容器,极板间介质为真空,两极板距离为d=m,若真空的击穿场强为3×106V/m,那么在该电容器上所施加的电压应小于( )。[2009年
[单选题]图1-6-2所示,给平行板电容器加电压V0,其极板上所受的电场力为( )。图1-6-2A.B.C.D.
[单选题]图1-6-5所示,给平行板电容器加电压V0,其极板上所受的电场力为( )。图1-6-5A.B.C.D.
[单选题]如题19图所示,给平行板电容器加电压V0,其极板上所受的电场力为( )。题19图A.B.C.D.
[判断题] 电容器放电,使电容器极板上的电荷减少。A . 正确B . 错误