A.
B.
C.
D.
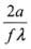
[单选题]在单缝夫琅禾费衍射实验中,单缝宽度为a,所用单色光波长为λ,透镜焦距为f,则中央明条纹的半宽度为( )。A.B.C.D.
[单选题]在单缝夫琅禾费衍射实验中,单缝宽度为a,所用单色光波长为λ,透镜焦距为f,则中央明条纹的半宽度为( )。A.B.C.D.
[单选题]在单缝夫琅禾费衍射实验中,单缝宽度为a,所用单色光波长为λ,透镜焦距为f,则中央明条纹的半宽度为()。A.B.C.D.
[单选题]在单缝夫琅禾费衍射实验中,单缝宽度为a,所用单色光波长为λ,透镜焦距为f,则中央明条纹的半宽度为( )。A.B.C.D.
[单选题]在单缝夫琅禾费衍射实验中,单缝宽度为a,所用单色光波长为λ,透镜焦距为f,则中央明条纹的半宽度为()。A.B.C.D.
[单选题]在单缝夫琅禾费衍射实验中,单缝宽度为a,所用单色光波长为λ,透镜焦距为f,则中央明条纹的半宽度为( )。A.B.C.D.
[单选题]在单缝夫琅禾费衍射实验中,单缝宽度为a,所用单色光波长为λ,透镜焦距为f,则中央明条纹的半宽度为( )。A.B.C.D.
[单选题]在单缝夫琅禾费衍射实验中,单缝宽度为a,所用单色光波长为λ,透镜焦距为f,则中央明条纹的半宽度为( )。A.B.C.D.
[单选题]在单缝夫琅禾费衍射实验中,单缝宽度为a,所用单色光波长为λ,透镜焦距为f,则中央明条纹的半宽度为( )。A.B.C.D.
[单选题]在单缝夫琅禾费衍射实验中,单缝宽度为a,所用单色光波长为λ,透镜焦距为f,则中央明条纹的半宽度为( )。A.B.C.D.
[单选题]在单缝夫琅禾费衍射实验中,单缝宽度为a,所用单色光波长为λ,透镜焦距为f,则中央明条纹的半宽度为( )。A.B.C.D.