
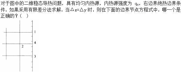
A.
B.
C.
D.
[单选题]A.使用该药确实增加了中风危险。下述事实表明了这种危险的程度;中风病例中50%(10/20)使用该药,而未中风病例中10%(990/9900)使用该药
[单选题]A.使用该药确实增加了中风危险。下述事实表明了这种危险的程度;中风病例中50%(10/20)使用该药,而未中风病例中10%(990/9900)使用该药
[单选题]A.右侧茎突综合征B.颞上颌关节半脱位C.颞上颌关节紊乱D.环枢椎关节紊乱E.颈椎病
[单选题]A.右侧茎突综合征B.颞上颌关节半脱位C.颞上颌关节紊乱D.环枢椎关节紊乱E.颈椎病
[单选题]A.肝囊肿合并感染B.肝包虫病C.肝脓肿D.肝癌合并液化
[单选题]A.肝囊肿合并感染B.肝包虫病C.肝脓肿D.肝癌合并液化
[单选题]A.15°B.30°C.45°D.60°E.75°
[单选题]A.根尖囊肿B.球上颌囊肿C.正中囊肿D.鼻唇囊肿E.鼻腭囊肿
[单选题]A.足量抗生素B.支持疗法C.对抗疗法D.应早期广泛切开E.输新鲜血
[单选题]A.舌动脉B.面动脉C.甲状腺上动脉D.颌内动脉E.颞浅动脉