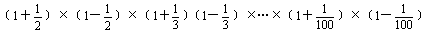
[单选题]

=(  )。

A.

B.

C.

D.

参考答案与解析:

相关试题

<img border="0" style="width: 425px; height: 32px;" src="https://img.zha