
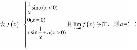
A.-1
B.0
C.1
D.2
[多选题]A.有多个起点节点B.有多个终点节点C.节点编号有误D.存在循环回路E.有多余虚的工作
[单选题]根据所给资料,下列说法中不正确的是:A.2002~2011年,我国出口总额年均增长率小于进口总额B.2011年,我国机电产品进出口实现顺差C.2011
[单选题]2003—2011年,贸易顺差同比增长率大于25%的年份有:A.4个B.3个C.2个D.1个
[单选题]2002年,我国高新技术产品进口额占进口总额的比重为:A.15.9%B.20.0%C.24.1%D.28.2%
[单选题]2002年,我国货物进出口总额为:A.6095亿美元B.6173亿美元C.6259亿美元D.6332亿美元
[单选题]A.B.C.D.-(8+R)I=10,(8+R)I=10
[单选题]A.可控RS触发器B.JK触发器C.基本RS触发器D.T触发器
[单选题]A.省煤器进口水压、锅筒出口蒸汽温度、空预器出口气温B.空预器出口烟温、炉膛负压、返料器温度C.锅炉出口蒸汽压力、返料器温度、给水泵停运D.返料器温度
[单选题]A.省煤器进口水压、锅筒出口蒸汽温度、空预器出口气温B.空预器出口烟温、炉膛负压、返料器温度C.锅炉出口蒸汽压力、返料器温度、给水泵停运D.返料器温度