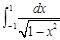
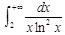
A.
B.
C.
D.
[单选题]下列反常(广义)积分发散的是( ).A.B.C.D.
[单选题]下列反常(广义)积分发散的是( ).A.B.C.D.
[单选题]下列反常(广义)积分发散的是( ).A.B.C.D.
[单选题]下列反常(广义)积分发散的是()。A.B.C.D.
[单选题]下列反常(广义)积分发散的是()。A.B.C.D.
[单选题]下列反常(广义)积分发散的是()A.B.C.D.
[单选题]下列反常(广义)积分发散的是()A.B.C.D.
[单选题]下列反常(广义)积分发散的是()A.B.C.D.
[单选题]下列反常(广义)积分发散的是()A.B.C.D.
[单选题]下列反常积分发散的是()。A.B.C.D.