
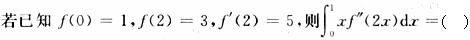
A.0
B.1
C.2
D.-2
[单选题]A.0B.1C.2D.-2
[单选题]A.0B.1C.2D.-2
[单选题]A.0.125/cmB.0.3.46/cmC.0.554/cmD.0.692/cmE.0.885/cm
[单选题]A.16B.27C.36D.54E.62
[单选题]A.2B.C.1D.E.A、B、C、D都不正确
[单选题]A.16B.27C.36D.54E.62
[单选题]A.2B.C.1D.E.A、B、C、D都不正确
[单选题]A.牙冠长而大B.牙体组织健康C.牙周条件好D.咬合平衡E.活髓牙