当前位置: 找题吧 >  军队文职 数学2
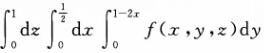
[单选题]

A.

B.

C.

D.

参考答案与解析:

相关试题

<img border="0" style="width: 667px; height: 48px;" src="https://img.zha

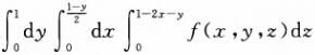
[单选题]A.B.C.D.

  • 查看答案
  • <img border="0" style="width: 667px; height: 48px;" src="https://img.zha

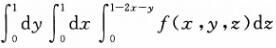
    [单选题]A.B.C.D.

  • 查看答案
  • <img border="0" style="width: 667px; height: 48px;" src="https://img.zha

    [单选题]A.B.C.D.

  • 查看答案
  • <img border="0" style="width: 667px; height: 58px;" src="https://img.zha

    [单选题]A.B.C.D.

  • 查看答案
  • <img border="0" style="width: 667px; height: 47px;" src="https://img.zha

    [单选题]A.1/2B.2C.1/4D.1

  • 查看答案
  • <img border="0" style="width: 667px; height: 47px;" src="https://img.zha

    [单选题]A.1/2B.2C.1/4D.1

  • 查看答案
  • <img border="0" style="width: 667px; height: 47px;" src="https://img.zha

    [单选题]A.1/2B.2C.1/4D.1

  • 查看答案
  • <img border="0" style="width: 667px; height: 47px;" src="https://img.zha

    [单选题]A.1/2B.2C.1/4D.1

  • 查看答案
  • <img border="0" style="width: 667px; height: 47px;" src="https://img.zha

    [单选题]A.1/2B.2C.1/4D.1

  • 查看答案
  • <img border="0" style="width: 667px; height: 47px;" src="https://img.zha

    [单选题]A.1/2B.2C.1/4D.1

  • 查看答案
  • <img border="0" style="width: 667px; height: 48px;" src="https://img.zha