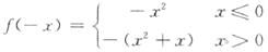
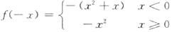
[单选题]

A.

B.

C.

D.

参考答案与解析:

相关试题

<img border="0" style="width: 258px; height: 45px;" src="https://img.zha

[单选题]A.B.C.D.

  • 查看答案
  • <img border="0" style="width: 258px; height: 45px;" src="https://img.zha

    [单选题]A.B.C.D.

  • 查看答案
  • <img border="0" style="width: 258px; height: 30px;" src="https://img.zha

    [单选题]A.Ⅰ类洞B.Ⅱ类洞C.Ⅲ类洞D.Ⅳ类洞E.Ⅴ类洞

  • 查看答案
  • <img border="0" style="width: 258px; height: 27px;" src="https://img.zha

    [单选题]A.髁导盘位于上颌体,切导盘位于下颌体B.与人体颅骨结构形式相同C.D.模拟开闭口时,颌间距离的改变会导致髁导斜度的改变E.

  • 查看答案
  • <img border="0" style="width: 258px; height: 22px;" src="https://img.zha

    [判断题]A.对B.错

  • 查看答案
  • <img border="0" style="width: 258px; height: 22px;" src="https://img.zha

    [判断题]A.对B.错

  • 查看答案
  • <img border="0" style="width: 258px; height: 26px;" src="https://img.zha

    [单选题]A.临界粒径的一半B.临界粒径的二倍C.粒级效率为50%的颗粒直径D.总效率为50%的颗粒直径

  • 查看答案
  • <img border="0" style="width: 258px; height: 40px;" src="https://img.zha

    [单选题]A.B.C.D.

  • 查看答案
  • <img border="0" style="width: 258px; height: 27px;" src="https://img.zha

    [单选题]A.B.C.D.

  • 查看答案
  • <img border="0" style="width: 258px; height: 26px;" src="https://img.zha

    [单选题]A.临界粒径的一半B.临界粒径的二倍C.粒级效率为50%的颗粒直径D.总效率为50%的颗粒直径

  • 查看答案
  • <img border="0" style="width: 258px; height: 45px;" src="https://img.zha