当前位置: 找题吧 >  军队文职 数学2
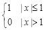
[单选题]

A.0

B.1

C.

D.

参考答案与解析:

相关试题

<img border="0" style="width: 395px; height: 51px;" src="https://img.zha

[单选题]A.0B.1C.D.

  • 查看答案
  • <img border="0" style="width: 395px; height: 51px;" src="https://img.zha

    [单选题]A.0B.1C.D.

  • 查看答案
  • <img border="0" style="width: 395px; height: 18px;" src="https://img.zha

    [问答题]----------------------------------------.

  • 查看答案
  • <img border="0" style="width: 395px; height: 28px;" src="https://img.zha

    [单选题](  )。A.B.C.D.

  • 查看答案
  • <img border="0" style="width: 395px; height: 66px;" src="https://img.zha

    [问答题]

  • 查看答案
  • <img border="0" style="width: 395px; height: 36px;" src="https://img.zha

    [问答题]-----------.

  • 查看答案
  • <img border="0" style="width: 395px; height: 18px;" src="https://img.zha

    [问答题]------------------------------.

  • 查看答案
  • <img border="0" style="width: 395px; height: 36px;" src="https://img.zha

    [问答题]------------.

  • 查看答案
  • <img border="0" style="width: 395px; height: 66px;" src="https://img.zha

    [问答题]

  • 查看答案
  • <img border="0" style="width: 395px; height: 36px;" src="https://img.zha

    [问答题]-------------.

  • 查看答案
  • <img border="0" style="width: 395px; height: 51px;" src="https://img.zha