[问答题]

阅读案例,并回答问题。
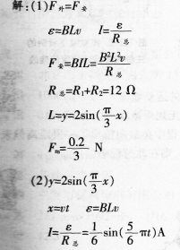
下面为一道物理试题和某同学的解答过程。

求:
(1)外力F的最大值;
(2)在滑动过程中通过金属棒的电流I与时间t的关系。
问题:
(1)指出此道试题检测了学生所学的哪些知识点。(4分)
(2)给出正确的解题过程。(6分)
(3)针对学生解题过程存在的问题,设计一个教学片段,帮助学生解决此类问题。(10分)

参考答案与解析:

相关试题

阅读案例,并回答问题。<br />下面为一道物理试题和某同学的解答过程。<br /><img border="0" style="width