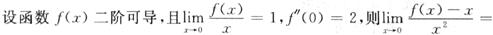
[问答题]

-------------.

参考答案与解析:

相关试题

<img border="0" style="width: 493px; height: 35px;" src="https://img.zha

[问答题]----------.

  • 查看答案
  • <img border="0" style="width: 493px; height: 35px;" src="https://img.zha

    [问答题]-------------.

  • 查看答案
  • <img border="0" style="width: 493px; height: 34px;" src="https://img.zha

    [单选题]A.避免心肌血流量降低B.降低邻近脏器血流量,提高心肌显像的对比度C.使心肌对显像剂的摄取量增加D.降低患者的辐射剂量E.避免胃内容物对下壁心肌的放射

  • 查看答案
  • <img border="0" style="width: 493px; height: 34px;" src="https://img.zha

    [单选题]A.避免心肌血流量降低B.降低邻近脏器血流量,提高心肌显像的对比度C.使心肌对显像剂的摄取量增加D.降低患者的辐射剂量E.避免胃内容物对下壁心肌的放射

  • 查看答案
  • <img border="0" style="width: 493px; height: 25px;" src="https://img.zha

    [单选题]A.FNPV≥0B.FNPV≤0C.FNPV>0D.FNPV<0

  • 查看答案
  • <img border="0" style="width: 493px; height: 25px;" src="https://img.zha

    [单选题]A.FNPV≥0B.FNPV≤0C.FNPV>0D.FNPV<0

  • 查看答案
  • <img border="0" style="width: 493px; height: 65px;" src="https://img.zha

    [单选题]A.1/3B.2/3C.1/2D.1/4

  • 查看答案
  • <img border="0" style="width: 493px; height: 44px;" src="https://img.zha

    [单选题]A.必在x=-3处发散B.必在x=2处收敛C.必在|x|>3时发散D.其收敛区间为[-2,3)

  • 查看答案
  • <img border="0" style="width: 493px; height: 64px;" src="https://img.zha

    [单选题]A.-2或3B.2或3C.2或-3D.-2或-3

  • 查看答案
  • <img border="0" style="width: 493px; height: 91px;" src="https://img.zha

    [单选题]A.-6,2,-6B.-6,-2,6C.-6,2,6D.-6,-2,-6

  • 查看答案
  • <img border="0" style="width: 493px; height: 35px;" src="https://img.zha