当前位置: 找题吧 >  研究生 考研公共课数学三
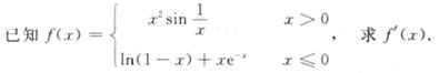
[问答题]

 

参考答案与解析:

相关试题

 <img border="0" src="https://img.zhaotiba.com/fujian/20220821/q5xejvjbmk3.jp

[问答题]----------------.

  • 查看答案
  •  <img border="0" src="https://img.zhaotiba.com/fujian/20220821/oyywzgct50q.jp

    [单选题](  ).A.0B.1C.D.

  • 查看答案
  •  <img border="0" src="https://img.zhaotiba.com/fujian/20220821/coazpffwh4q.jp

    [问答题]--------------.

  • 查看答案
  •  <img border="0" src="https://img.zhaotiba.com/fujian/20220821/3mhjraiqkoe.jp

    [问答题]

  • 查看答案
  •  <img border="0" src="https://img.zhaotiba.com/fujian/20220821/0umhpgfdxbg.jp

    [单选题](  ).A.B.C.D.

  • 查看答案
  •  <img border="0" src="https://img.zhaotiba.com/fujian/20220821/0jjejztgdyw.jp

    [单选题](  ).A.存在且一定为0B.存在且一定不为0C.一定不存在D.不一定存在

  • 查看答案
  •  <img border="0" src="https://img.zhaotiba.com/fujian/20220821/0frkz3eklui.jp

    [单选题](  ).A.B.C.D.

  • 查看答案
  •  <img border="0" src="https://img.zhaotiba.com/fujian/20220821/3blyjbp0gxs.jp

    [问答题]--------------------.

  • 查看答案
  •  <img border="0" src="https://img.zhaotiba.com/fujian/20220821/03q4zcrbbim.jp

    [问答题]

  • 查看答案
  •  <img border="0" src="https://img.zhaotiba.com/fujian/20220821/jznlhygolph.jp

    [问答题]

  • 查看答案
  •  <img border="0" src="https://img.zhaotiba.com/fujian/20220821/q3lpzm0uxka.jp