[单选题]

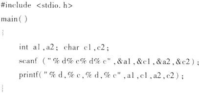
有以下程序:

若想通过键盘输入,使得a1的值为12,a2的值为34,c1的值为a,c2的值为b,程序运行后的输出结果是:12,a,34,b,则正确的输入格式是(以下代表空格,<CR>代表回车)(  )。

A.12a34b<CR>

B.

C.12,a,34,b<CR>

D.

参考答案与解析:

相关试题

有以下程序:<br /><img border="0" style="width: 407px; height: 190px;" src=&q