[问答题]

(本题满分10分)
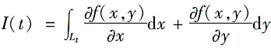
  设函数满足,且是从点到点的光滑曲线。计算曲线积分,并求的最小值。

参考答案与解析:

相关试题

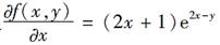
(本题满分10分)<br />  设函数<img border="0" style="width: 51px; height: 21px;"