[问答题]

(本题满分10分)
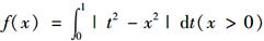
  设函数,求并求f(x)的最小值。

参考答案与解析:

相关试题

(本题满分10分)<br />  设函数<img border="0" style="width: 241px; height: 38px;"