A.
B.
C.
D.
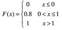
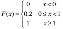
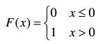
[单选题]设随机变量X~B(l,0.8)分布,则X的分布函数为()。A.B.C.D.
[试题]设随机变量X~B(1,0.8)(二项分布),则X的分布函数为___________.
[问答题]已知随机变量X的分布函数为FX(x),则随机变量y=3X+2的分布函数FY(y)=().
[单选题]若F(x)为随机变量X的分布函数,则( )。A.F(x)=P(X<x)B.F(x)=P(X=x)C.F(x)=P(X≥x)D.F(x)=P(X≤0)
[单选题]设随机变量X,Y独立同分布,且X的分布函数为F(x),则Z=max{X,Y)的分布函数为( )。A.F2(x)B.F(x)F(y)C.1-[1-F(
[单选题]设随机变量X,Y独立同分布,且X的分布函数为F(x),则Z=max{X,Y}的分布函数为( ).A.B.C.D.
[单选题]设随机变量X,Y独立同分布,且X的分布函数为F(x),则Z=max{X,Y}的分布函数为( ).A.B.C.D.
[单选题]假设随机变量X服从指数分布,则随机变量Y=min(X,2)的分布函数( ).A.是连续函数B.至少有两个间断点C.是阶梯函数D.恰好有一个间断点
[单选题]假设随机变量X服从指数分布,则随机变量Y=min(X,2)的分布函数( ).A.是连续函数B.至少有两个间断点C.是阶梯函数D.恰好有一个间断点
[单选题]设连续型随机变量X的分布函数则k等于().A . 3B . 2C . 4D . 1