A.8x+1=0
B.8x-3=0
C.
D.
E.
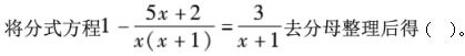
[单选题]A.8x+1=0B.8x-3=0C.D.E.
[单选题]A.短路电流合闸B.短路电流分闸C.负荷电流分、合闸D.短路电流分、合闸
[单选题]A.1B.C.0D.2
[判断题]A.对B.错
[单选题]A.8B.9C.13D.16
[单选题]A.B.C.D.
[单选题]A.都收敛B.都发散C.敛散性不同D.同时收敛或同时发散
[单选题]A.k=0B.k=1C.k=-1D.k=2