
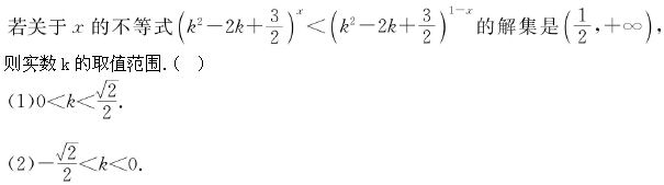
A.条件(1)充分,但条件(2)不充分
B.条件(2)充分,但条件(1)不充分
C.条件(1)和(2)单独都不充分,但条件(1)和条件(2)联合起来充分
D.条件(1)充分,条件(2)也充分
E.条件(1)和条件(2)单独都不充分,条件(1)和条件(2)联合起来也不充分
[单选题]A.条件(1)充分,但条件(2)不充分B.条件(2)充分,但条件(1)不充分C.条件(1)和条件(2)单独都不充分,但条件(1)和条件(2)联合起来充
[单选题]A.2100B.2000C.1905D.1900
[单选题]A.2100B.2000C.1905D.1900
[单选题]A.1635B.1650C.1785D.1799
[单选题]A.1.89B.2.66C.3.13D.4.11
[单选题]A.静止B.滑动C.当W很小时能静止D.处于临界状态
[单选题]A.图(a)装置振动周期最大B.图(b)装置振动周期最大C.图(c)装置振动周期最大D.三种装置振动周期相等
[单选题]A.2B.2.5C.3.2D.3.8
[单选题]A.A,B,CB.C,B,AC.C,A,BD.A,C,B