
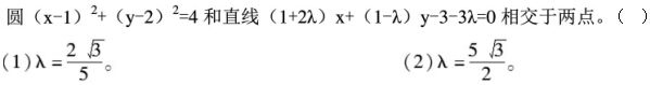
A.条件(1)充分,但条件(2)不充分。
B.条件(2)充分,但条件(1)不充分。
C.条件(1)和条件(2)单独都不充分,但条件(1)和条件(2)联合起来充分。
D.条件(1)充分,条件(2)也充分。
E.条件(1)和条件(2)单独都不充分,条件(1)和(2)联合起来也不充分。
[单选题]A.条件(1)充分,但条件(2)不充分。B.条件(2)充分,但条件(1)不充分。C.条件(1)和条件(2)单独都不充分,但条件(1)和条件(2)联合起
[单选题]A.a=1,b=-1/6B.a=l,b=l/6C.a=-l,b=-1/6D.a=-1,b=l/6
[单选题]A.a=1,b=-1/6B.a=l,b=l/6C.a=-l,b=-1/6D.a=-1,b=l/6
[单选题]A.10B.250C.6250
[单选题]A.0.0174kg水/(kg绝干气)B.0.0435kg水/(kg绝干气)C.0.0185kg水/(kg绝干气)D.0.0234kg水/(kg绝干气
[单选题]A.6.552mB.7.285mC.3.935mD.1.126m
[单选题]A.增大0.059B.减小0.059C.减小0.118D.增大0.118
[单选题]A.气体1的溶解度大于气体2B.气体1的溶解度小于气体2C.气体1的溶解度等于气体2D.不确定