A.
B.
C.
D.
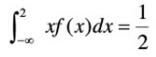
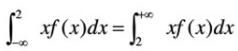
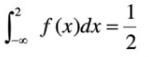
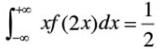
[单选题]设随机变量X的密度函数为f(x),数学期望E(X)=2,则()。A.B.C.D.
[单选题]知某个连续型随机变量X的数学期望E(X)=1,则X的概率密度函数不可能是().A . B . C . D .
[问答题]设随机变量X的期望E(X)=2,随机变量Y的期望E(y)=4,又E(XY)=0,则Cov(X,Y)=().
[单选题]设随机变量X的密度函数为f(x),且f(-x)=f(x),F(x)是X的分布函数,则对任意实数a有( )。A.B.C.D.
[单选题]设随机变量X的密度函数为f(x),且f(-x)=f(x),F(x)是X的分布函数,则对任意实数a有( )。A.B.C.D.
[单选题]设随机变量X的密度函数为f(x),且f(-x)=f(x),F(x)是X的分布函数,则对任意实数a有( )。A.B.C.D.
[单选题]设随机变量X的密度函数为f(x),且f(-x)=f(x),F(x)是X的分布函数,则对任意实数a有()。A.B.C.F(-a)=F(a)D.F(-a)
[单选题]设随机变量X的密度函数为f(x),且f(-x)=f(x),F(x)是X的分布函数,则对任意实数a有( )。A.B.C.D.
[单选题]设随机变量X的密度函数为f(x),且f(-x)=f(x),F(x)是X的分布函数,则对任意实数a有( )。A.B.C.D.
[单选题]设随机变量X的密度函数为f(x),且f(-x)=f(x),F(x)是X的分布函数,则对任意实数a有( )。A.B.C.D.