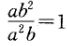
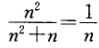
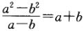
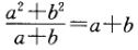
A.
B.
C.
D.
E.以上运算均不正确
[单选题]下列各式约分运算正确的是().A.B.C.D.E.以上运算均不正确
[单选题]在下列各式中,运算结果为数值的是( )。A.CTOD(‘04/05/97’)-28B.‘1234’+‘5678’C.120+30-150D.LEN(‘ABCD’)-1
[单选题]下列各式中正确的是( ).A.B. C. D.
[判断题] 常用的工业调节器的基本运算规律包括比例微分运算。A . 正确B . 错误
[单选题]积分运算放大电路可将方波电压变为()A . 尖脉冲B . 三角波C . 锯齿波D . 矩形波
[单选题]微分运算放大电路可将方波电压变换为()。A . 尖脉冲B . 三角波C . 锯齿波D . 矩形波
[单选题]已知i=5,j=0,下列各式中运算结果为j=5的表达式是( )。A.j=i+(++j)B.j=j+i++C.j=++i+jD.j=j+++i
[单选题]下述各式正确的是()。A . Z=R+XB . Z=R2+X2C . Z=R+(XL-XC.D . Z=R2
[单选题]下面各式,()是正确的。A . HA+b=HB+aB . HA-a=HB-bC . hAB=HA-HBD . HA+a=HB+b
[单选题]在纯电阻电路中,下列各式正确的是()。A .cosφ=0B .Q=IRURC .S=PD .P=0