[单选题]

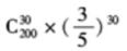
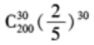
袋中有4个红球,6个黑球,则从中有放回地摸球200次中红球出现30次的概率为()。

A.

B.

C.

D.

E.

参考答案与解析:

相关试题

袋中有4个红球,6个黑球,则从中有放回地摸球200次中红球出现30次的概率为()。

[单选题]袋中有4个红球,6个黑球,则从中有放回地摸球200次中红球出现30次的概率为()。A.B.C.D.E.

  • 查看答案
  • 袋中有10个球,其中有3个红球,不放回地从中连取2次,每次取一个球,则第二次取到红球的概率为().

    [问答题]袋中有10个球,其中有3个红球,不放回地从中连取2次,每次取一个球,则第二次取到红球的概率为().

  • 查看答案
  • 设袋中有红、白、黑球各1个,从中有放回地取球,每次取1个,直到三种颜色的球都取到时停止,则取球次数恰好为4的概率为________。

    [问答题]设袋中有红、白、黑球各1个,从中有放回地取球,每次取1个,直到三种颜色的球都取到时停止,则取球次数恰好为4的概率为________。

  • 查看答案
  • 袋中有50个球,其中20个新球,30个旧球,现每次取1球,无放回地取2次,则第2次取得旧球的概率是()。

    [单选题]袋中有50个球,其中20个新球,30个旧球,现每次取1球,无放回地取2次,则第2次取得旧球的概率是()。A.B.C.D.

  • 查看答案
  • 在一个口袋中有10个黑球、6个白球、4个红球,至少从中取出多少个球才能保证其中有

    [单选题]在一个口袋中有10个黑球、6个白球、4个红球,至少从中取出多少个球才能保证其中有白球?A.14 B.15 C.17 D.18

  • 查看答案
  • 袋中有5个黑球,3个白球,大小相同,一次随机地摸出4个球,其中恰有3个白球的概率

    [单选题]袋中有5个黑球,3个白球,大小相同,一次随机地摸出4个球,其中恰有3个白球的概率为()。A . AB . BC . CD . D

  • 查看答案
  • (本题满分11分)<br />袋中有1个红球,2个黑球与3个白球,现有放回地从袋中取两次,每次取一个球.以X,Y,Z分别表示两次取球所取得的红球、黑球与白球的个数.<br />

    [问答题](本题满分11分)袋中有1个红球,2个黑球与3个白球,现有放回地从袋中取两次,每次取一个球.以X,Y,Z分别表示两次取球所取得的红球、黑球与白球的个数

  • 查看答案
  • 袋中有1个红球.2个黑球与3个白球,现有放回地从袋中取两次,每次取一个球,以X,Y,Z分别表示两次取球所取得的红球.黑球与白球的个数。<br />(1)求P|X=1|Z=0};<br

    [问答题]袋中有1个红球.2个黑球与3个白球,现有放回地从袋中取两次,每次取一个球,以X,Y,Z分别表示两次取球所取得的红球.黑球与白球的个数。(1)求P|X=

  • 查看答案
  • 甲袋中有5只白球,5只红球,15只黑球,乙袋中有10只白球,5只红球,10只黑球,从两袋中各取一球,则两球颜色相同的概率为----------------.

    [问答题]甲袋中有5只白球,5只红球,15只黑球,乙袋中有10只白球,5只红球,10只黑球,从两袋中各取一球,则两球颜色相同的概率为--------------

  • 查看答案
  • 甲袋中有5只白球,5只红球,15只黑球,乙袋中有10只白球,5只红球,10只黑球,从两袋中各取一球,则两球颜色相同的概率为----------.

    [问答题]甲袋中有5只白球,5只红球,15只黑球,乙袋中有10只白球,5只红球,10只黑球,从两袋中各取一球,则两球颜色相同的概率为----------.

  • 查看答案
  • 袋中有4个红球,6个黑球,则从中有放回地摸球200次中红球出现30次的概率为()。