
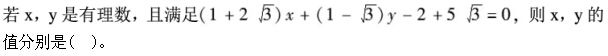
A.1,3
B.1,2
C.-1,3
D.-1,2
E.-1,-3
[单选题]A.1,3B.1,2C.-1,3D.-1,2E.-1,-3
[单选题]A.肺功能基本正常B.肺功能轻度减退C.肺功能显著减退D.肺功能严重减退E.呼吸衰竭
[单选题]A.递增且为凹弧B.递增且为凸弧C.递减且为凹弧D.递减且为凸弧
[单选题]A.递增且为凹弧B.递增且为凸弧C.递减且为凹弧D.递减且为凸弧
[单选题]A.递增且为凹弧B.递增且为凸弧C.递减且为凹弧D.递减且为凸弧
[单选题]A.递增且为凹弧B.递增且为凸弧C.递减且为凹弧D.递减且为凸弧
[单选题]A.1cmB.2cmC.2.5cmD.3cmE.4cm
[单选题]A.0B.1/2C.1/4D.-1/2E.2010
[单选题]A.③④B.①③C.①②D.②④E.②③