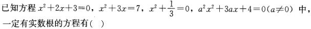
[单选题]

A.4个

B.3个

C.2个

D.1个

E.0个

参考答案与解析:

相关试题

<img border="0" style="width: 607px; height: 57px;" src="https://img.zha

[单选题]A.4个B.3个C.2个D.1个E.0个

  • 查看答案
  • <img border="0" style="width: 607px; height: 55px;" src="https://img.zha

    [单选题]A.±2B.±3C.D.E.±1

  • 查看答案
  • <img border="0" style="width: 607px; height: 48px;" src="https://img.zha

    [单选题]A.条件(1)充分,但是(2)不充分。B.条件(2)充分,但是(1)不充分。C.条件(1)和(2)单独不充分,但条件(1)和(2)联合起来充分。D.条

  • 查看答案
  • <img border="0" style="width: 607px; height: 53px;" src="https://img.zha

    [单选题]A.B.C.D.E.

  • 查看答案
  • <img border="0" style="width: 607px; height: 48px;" src="https://img.zha

    [单选题]A.条件(1)充分,但条件(2)不充分B.条件(2)充分,但条件(1)不充分C.条件(1)和条件(2)单独都不充分,但条件(1)和条件(2)联合起来充

  • 查看答案
  • <img border="0" style="width: 607px; height: 51px;" src="https://img.zha

    [单选题]A.B.C.D.E.

  • 查看答案
  • <img border="0" style="width: 607px; height: 55px;" src="https://img.zha

    [单选题]A.±2B.±3C.D.E.±1

  • 查看答案
  • <img border="0" style="width: 607px; height: 73px;" src="https://img.zha

    [单选题]A.B.C.D.

  • 查看答案
  • <img border="0" style="width: 607px; height: 89px;" src="https://img.zha

    [单选题]A.B.C.D.

  • 查看答案
  • <img border="0" style="width: 607px; height: 99px;" src="https://img.zha

    [单选题]A.B.C.D.

  • 查看答案
  • <img border="0" style="width: 607px; height: 57px;" src="https://img.zha