
A.单室单剂量血管外给药c-t关系式
B.单室单剂量静脉滴注给药c-t关系式
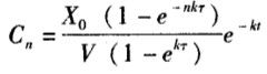
C.单室单剂量静脉注射给药c-t关系式
D.单室多剂量静脉注射给药c-t关系式
E.多剂量函数
[单选题]A.单室单剂量血管外给药c-t关系式B.单室单剂量静脉滴注给药c-t关系式C.单室单剂量静脉注射给药c-t关系式D.单室多剂量静脉注射给药c-t关系式
[单选题]公文正文③处在表述上存在一些问题,下列对此说法错误的是()。A.表述歧义,“男女夏裤、裙”应修改为“男女夏裤、女裙”B.“十九个”应该改为“19个”C
[单选题]多题库版权所有,侵权必究!军队文职招聘考试学习QQ群:564468543A.B.C.D.
[单选题]“决定”的适用范围很广泛,上述材料内容属于()。A.对重大行动作出安排B.对重要事项作出决策和安排C.设置有关机构D.发布重要政策、法规
[单选题]A.《山在虚无飘渺间》B.《此恨绵绵无绝期》C.《六军不发无奈何》D.《夜雨闻铃肠断声》
[单选题]与2006年相比,2011年全国收缴土地面积约减少了:A.52%B.110%C.67%D.205%
[单选题]2012年6月欧盟27国粗钢产量占世界62个主要产钢国和地区的比重较上年同期:( )。A.下降了0.7个百分点B.上升了0.7个百分点C.下降了1.7
[单选题]填入横线②处,作为这份公文的发文字号,书写正确的是( )。A.国发【2015】第44号B.国发(2015)44号C.国函[2015]44号D.国办函[
[单选题]2012年年末,国道、省道及县道占全国公路总里程的比重约为( )A.12%B.20%C.16%D.24%
[单选题]2004—2013年,硕士研究生报考人数同比增长率超过10%的有( )A.1年B.5年C.3年D.4年