当前位置: 找题吧 >  数学1 军队文职
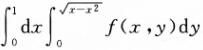
[单选题]

A.

B.

C.

D.

参考答案与解析:

相关试题

<img border="0" style="width: 406px; height: 46px;" src="https://img.aic

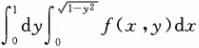
[单选题]A.B.C.D.

  • 查看答案
  • <img border="0" style="width: 406px; height: 46px;" src="https://img.aic

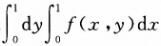
    [单选题]A.B.C.D.

  • 查看答案
  • <img border="0" style="width: 406px; height: 46px;" src="https://img.aic

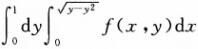
    [单选题]A.B.C.D.

  • 查看答案
  • <img border="0" style="width: 406px; height: 46px;" src="https://img.aic

    [单选题]A.B.C.D.

  • 查看答案
  • <img border="0" style="width: 406px; height: 46px;" src="https://img.aic

    [单选题]A.B.C.D.

  • 查看答案
  • <img border="0" style="width: 406px; height: 46px;" src="https://img.zha

    [单选题]A.B.C.D.

  • 查看答案
  • <img border="0" style="width: 406px; height: 46px;" src="https://img.zha

    [单选题]A.B.C.D.

  • 查看答案
  • <img border="0" style="width: 406px; height: 46px;" src="https://img.zha

    [单选题]A.B.C.D.

  • 查看答案
  • <img border="0" style="width: 406px; height: 46px;" src="https://img.zha

    [单选题]A.B.C.D.

  • 查看答案
  • <img border="0" style="width: 406px; height: 46px;" src="https://img.zha

    [单选题]A.B.C.D.

  • 查看答案
  • <img border="0" style="width: 406px; height: 46px;" src="https://img.aic