
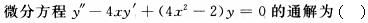
A.
B.
C.
D.
[单选题]A.B.心肌细胞主动摄取C.自由扩散D.心肌细胞胞饮E.
[单选题]A.临床常用B.半衰期较长C.价格便宜D.显像剂方便贮存E.以上都对
[单选题]A.g自然小调B.g和声小调C.d自然小调D.D自然大调
[单选题]A.原始粒细胞可>50%B.早幼粒以下阶段>10%C.原始粒细胞POX(+)>3%D.单核细胞可增多>20%E.原始粒细胞中可见Auer小体
[单选题]A.与发病时间呈反向,与局部血流量呈同向关系B.与发病时间及血流量呈同向的关系C.与发病时间及血流量呈反向关系D.与发病时间呈同向,与局部血流量呈反向
[单选题]A.恶性淋巴瘤治疗后疗效判断及预后评估B.寻找原发灶不明的可疑肿瘤病灶C.肝癌与肝脓肿特异性鉴别D.原因不明的发热而疑有恶性淋巴瘤者E.肺癌纵隔及肺门
[单选题]A.3%B.5%C.1%D.0.5%E.10%