A.
B.
C.
D.
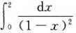
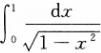
[单选题]下列反常积分发散的是()。A.B.C.D.
[单选题]下列反常积分发散的是()。A.B.C.D.
[单选题]下列反常积分发散的是()。A.B.C.D.
[单选题]下列反常积分发散的是()。A.B.C.D.
[单选题]下列反常积分发散的是()。A.B.C.D.
[单选题]下列反常积分发散的是()。A.B.C.D.
[单选题]下列反常积分发散的是()。A.B.C.D.
[单选题]下列反常积分发散的是()。A.B.C.D.
[单选题]下列反常积分发散的是()。A.B.C.D.
[单选题]下列反常积分发散的是()。A.B.C.D.