A.
B.
C.
D.
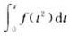
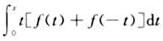
[单选题]设函数f(x)连续,则下列函数中必为偶函数的是( ).A.B.C.D.
[单选题]设函数f(x)连续,则下列函数中必为偶函数的是( ).A.B.C.D.
[单选题]设函数f(x)连续,则下列函数中必为偶函数的是( ).A.B.C.D.
[单选题]设函数f(x)连续,则下列函数中必为偶函数的是()A.B.C.D.
[单选题]设函数f(x)连续,则下列函数中必为偶函数的是()A.B.C.D.
[单选题]设函数f(x)连续,则下列函数中必为偶函数的是()A.B.C.D.
[单选题]设函数f(x)连续,则下列函数中必为偶函数的是()A.B.C.D.
[单选题]设函数f(x)连续,则下列函数中必为偶函数的是()A.B.C.D.
[单选题]设函数f(x)连续,则下列函数中必为偶函数的是()A.B.C.D.
[单选题]设函数f(x)连续,则在下列变上限积分函数中,必为偶函数的是()。A.B.C.D.