
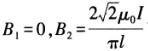
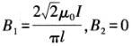
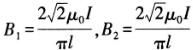
A.
B.
C.
D.
[单选题]A.selling something upB.selling something fancyC.selling something unnecess
[单选题]A.该反应为放热反应B.催化剂能改变该反应的焓变C.催化剂能降低该反应的活化能D.逆反应的活化能大于正反应的活化能
[单选题]A.该反应为放热反应B.催化剂能改变该反应的焓变C.催化剂能降低该反应的活化能D.逆反应的活化能大于正反应的活化能
[单选题]A.selling something upB.selling something fancyC.selling something unnecess
[单选题]A.360KB.180KC.16.2℃D.32.4℃